HQ Tel. +49(0)89-235-16-801

US Tel. +1 765-780-7139

  • Impeller material: galvanized steel
  • Speed control: 0 ~ 10V DC/PWM
  • Direction of rotation: clockwise, seen on rotor
  • Type of protection: IP55
  • Insulation class: B
  • Mode of operation: continuous operation (S1)
  • Bearing: ball bearings
  • Motor protection: self-resetting TOP wired internally
Download catalogue

Characteristics

Modification name

BL-F120B-EC-20

Nominal voltage [VAC]

230

Frequency [Hz]

50/60

Speed [RPM]

4300

Air Flow [m³/h]

270

Power input max [W]

90

Сurrent max [A]

0.8

Sound pressure level [dB(A)]

71

Perm. amb. temperature [°С]

-25...+60

Capacitor [μF/VDB]

Motor type

EC

Electrical connection

Type “Е“

Dimensions [mm]

120

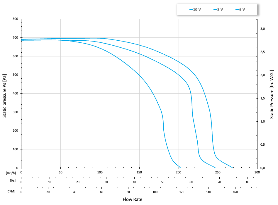
Performance curves

Dimensions

Electrical connections